Skip to content
Outline title

Mitoxondriyalarning nafas olish faoliyatini baholash.

Strathkelvin va ORIGIN dasturlaridan foydalanib mitoxondriya nafas olish faoliyatini o'rganish

Mirsoli Mirsultonov | 2023/04/20

banner2 Mitochondrial respiratory chain. link

Qisqacha

Mitoxondriyal oksidlovchi fosforlanish tizimi hujayra metabolizmining markaziy qismidir. U mitoxondrial nafas olish zanjirida ishlaydigan beshta fermentativ kompleks va ikkita mobil elektron tashuvchini o'z ichiga oladi. Mitoxondriyaga kiradigan qaytaruvchi ekvivalentlarning oksidlanishini hosil qilish va keyinchalik ichki mitoxondriyal membrana bo'ylab proton gradientining tarqalishini birlashtirish orqali bu elektron tashish zanjiri ATP ishlab chiqarishni rag'batlantiradi, keyinchalik u deyarli barcha hujayra jarayonlarida asosiy energiya tashuvchisi sifatida ishlatiladi. . Nafas olish zanjiri faoliyatining minimal buzilishlari kasalliklarga bog'liq; shuning uchun bu komplekslarning qanday yig'ilishi va tartibga solinishi va qanday ishlashini tushunish kerak. Ushbu sharhda biz har bir alohida kompleks uchun eng so'nggi yig'ish modellarini ko'rsatamiz, shuningdek, nafas olish superkomplekslari deb nomlanuvchi kattaroq yig'ilishlarning shakllanishi alohida komplekslarning oraliq moddalari assotsiatsiyasidan kelib chiqqanligini ko'rsatadigan so'nggi kashfiyotlarni ta'kidlaymiz. Keyin biz so'nggi paytlarda krio-elektron mikroskopiya tuzilmalari mitoxondriyal nafas olishda elektron tashish zanjirining funksiyasi va superkomplekslar va boshqa omillar, shu jumladan metabolitlar yagona komplekslarning faolligini qanday tartibga solishi mumkinligi haqidagi ochiq savollarga javob berishda qanday kalit bo'lganini muhokama qilamiz. Tegishli bo'lsa, biz ushbu mexanizmlarning fiziologiyaga qanday hissa qo'shishini muhokama qilamiz va ularning inson kasalliklarida tartibga solinmaganligini tasvirlaymiz.

Kerakli jihoz va materiallar

Mitoxondriyalarni izolyatsiya qilish. Jigardan mitoxondriyalarni ajratish uchun og'irligi 150 g bo'lgan katta yoshli erkak kalamushlar tanlangan. Izolyatsiya qilingandan so'ng, jigar mexanik ravishda maydalandi va 7 marta izolyatsiyalash eritmasiga (250 mM saxaroza, 1 mM EDTA, 10 mM Tris-HCl, pH = 7,4) joylashtirildi va gomogenizatorda gomogenlashtirildi. Keyin ikki bosqichli sentrifugalash amalga oshirildi (600g - 10 minut; 6000g - 18 minut). Olingan mitoxondriyalar izolyatsiya muhitida muz ustida saqlangan.

Mitoxondriyalarning nafas olish faoliyatini baholash. Mitoxondriya tomonidan kislorodni qabul qilish tezligi Klark elektrodida polarografik usul bilan baholandi. Tajribalar inkubatsiya eritmasida (120 mM KCl, 5 mM glutamat, 5 mM malat, 10 mM Tris-HCl, 1 mM KH2PO4) 36 µl mitoxondriya bilan to‘ldirilgan (2 min-dan keyin) 20 µl ADP, 2 µl CCCP bilan to‘ldirilgan. Polarografik natijalarni qayd etish Strathkelvin kislorod tizimi tomonidan amalga oshirildi.

Mitoxondriyalarning nafas olish faolligini tahlil qilish Strathkelvin Oxygen System dasturi yordamida amalga oshirildi, u har bir bosqichning (V2, V3, V4, VCCCP) oqim tezligini baholadi. Olingan natijalarni vizualizatsiya qilish va RCR va ATP / O ko'rsatkichlarini hisoblash Origin Pro 2021 dasturi yordamida amalga oshirildi.

Natijalar

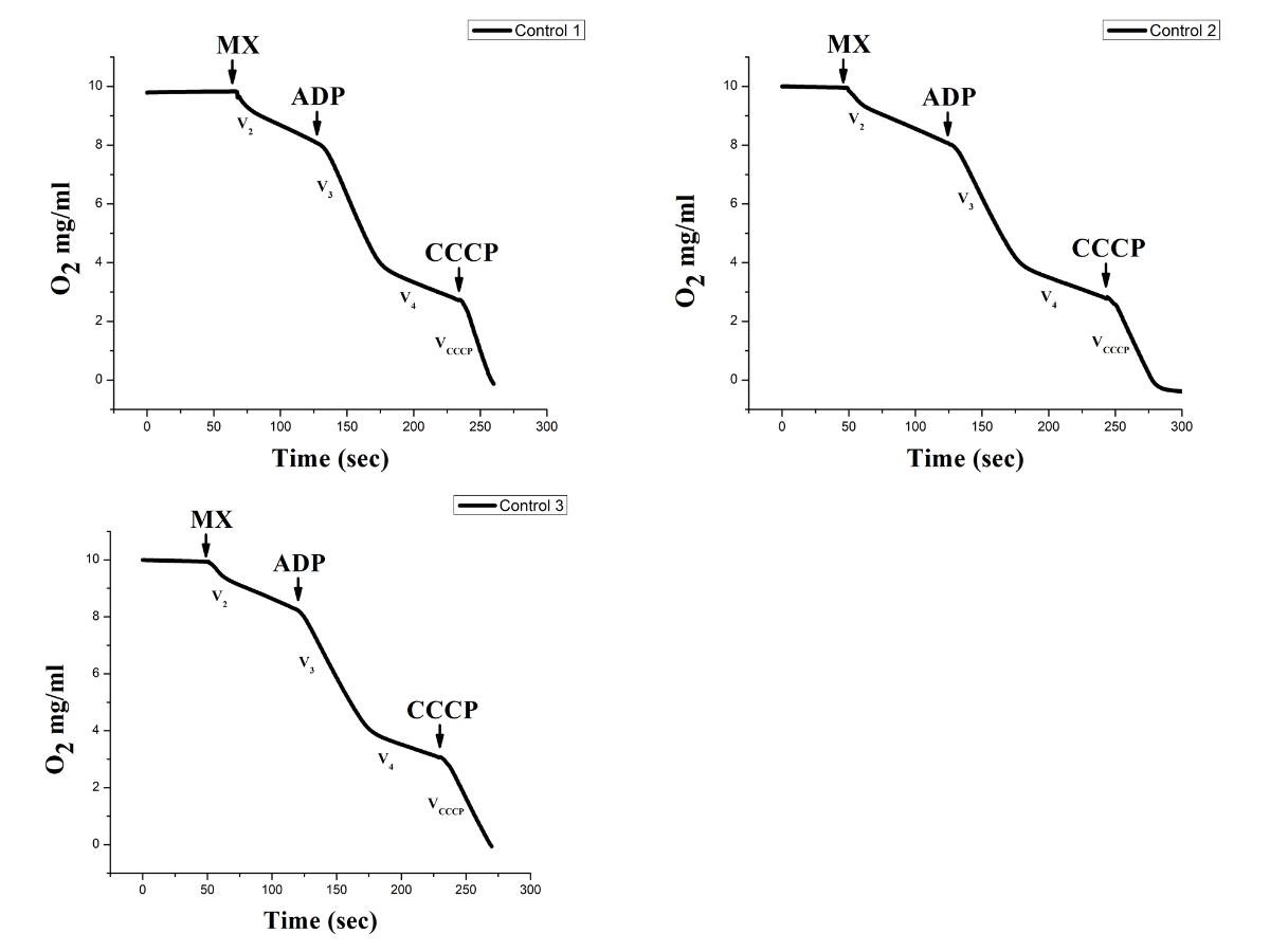
Nafas olish natijalari 1-rasmda ko'rsatilgan. O'qlar qo'shimchalarni ko'rsatadi va nafasni boshqarishning har bir bosqichi belgilangan. V2 - mitoxondriyalar qo'shilgandan so'ng kislorodni qabul qilish tezligi, bu bosqichda kislorodni qabul qilish mitoxondriyalarning o'zida saqlanadigan substratlar hisobiga sodir bo'ladi va keyin bu bosqichda mitoxondriya ichidagi substratlar (ADP) kamayishi bilan tezlik kamayadi. ADP qo'shiladi va undan keyin V3 bosqichi boshlanadi. Ushbu bosqichda kislorodni qabul qilish tezligi sezilarli darajada oshadi, bir muncha vaqt o'tgach, u yana pasayib, V4 bosqichiga o'tadi. Ushbu bosqichda ATP sintazasining yopilishi tufayli kislorod iste'mol qilish tezligi ham kamayadi, chunki elektron tashish zanjirida to'plangan proton gradienti kamaymaydi. Bundan tashqari, kislorodni to'liq iste'mol qilish uchun eritmaga mitoxondriyadagi oksidlanish va fosforlanish jarayonlarini ajratuvchi CCCP (ionofor) qo'shiladi, chunki bu modda membranalararo jarayondan protonlarning matritsaga erkin harakatlanishiga imkon beradi. Kontsentratsiya gradienti bu - elektron tashish zanjirining ishini kuchaytiradi va kislorod kontsentratsiyasi kamayadi.

image 11 - rasm. Mitoxondriyal nafas olish natijalari, Klark elektrodida polarografiya yordamida olingan. MX-mitoxondriyalar.

image 22 - rasm. Mitoxondriya tomonidan kislorodni singdirish paytida to'rt bosqichning oqim tezligi (chapda) va nafas olish nazorati (RCR) va ATP/O (o'ngda).

Xulosa

2-rasmda Klark elektrodida polarografiya natijasida olingan mitoxondrial nafas olish tezligi, shuningdek, RCR va ATP/O natijalari ko'rsatilgan. Nafas olish nazorati va ADP/O natijalarimiz shuni ko'rsatadiki, a) mitoxondriyalarning oksidlanish va fosforlanish jarayonlarining konjugatsiyasini baholash uchun etarli ma'lumot yo'q, b) bu ​​mitoxondriyalarda ATP sintezining samaradorligi pasayadi va fiziologik me'yorlardan tashqariga chiqadi. Keyinchalik ishonchli natijalar uchun qo'shimcha tadqiqotlar talab qilinadi.

Released under the MIT License.